Biểu diễn đồ thị trên máy tính là một kỹ thuật nền tảng trong khoa học máy tính, cho phép chúng ta lưu trữ và thao tác với các cấu trúc dữ liệu phức tạp bao gồm các “đỉnh” (nodes hoặc vertices) và “cạnh” (edges) nối các đỉnh này. Việc lựa chọn phương pháp biểu diễn đồ thị phù hợp có ý nghĩa quan trọng, ảnh hưởng trực tiếp đến hiệu suất của thuật toán và lượng bộ nhớ tiêu thụ. Bài viết này, dành cho những ai quan tâm đến cấu trúc dữ liệu và giải thuật, sẽ đi sâu vào ba phương pháp biểu diễn đồ thị phổ biến nhất, giúp bạn hiểu rõ bản chất, ưu nhược điểm và thời điểm áp dụng chúng một cách tối ưu.
Ma trận kề (Adjacency Matrix) – Giải pháp đơn giản cho đồ thị nhỏ
Ma trận kề là một trong những cách tiếp cận trực quan nhất để biểu diễn đồ thị trên máy tính. Giả sử chúng ta có một đa đồ thị G=(V, E) với N đỉnh, được đánh số từ 1 đến N. Khi đó, đồ thị có thể được biểu diễn bằng một ma trận vuông adj kích thước N x N. Mỗi phần tử adj[u][v] trong ma trận sẽ chứa thông tin về mối quan hệ giữa đỉnh u và đỉnh v.
adj[u][v] = 0, nếu không có cạnh nào nối giữauvàv(khiu ≠ v).adj[u][v] = x, nếu cóxcạnh nối giữauvàv(khiu ≠ v). Sốxthể hiện số lượng cạnh song song giữa hai đỉnh.- Đối với
adj[u][u], tức là các phần tử trên đường chéo chính, giá trị thường được đặt bằng 0, trừ khi đồ thị có các cạnh “khuyên” (loop) nối một đỉnh với chính nó. Tuy nhiên, trong hầu hết các bài toán cơ bản, giá trị này được bỏ qua hoặc mặc định là 0 để đơn giản hóa.
Cài đặt ma trận kề
Việc cài đặt ma trận kề cần chú ý đến loại đồ thị là vô hướng hay có hướng. Đối với đồ thị vô hướng, nếu có cạnh nối u và v, thì cả adj[u][v] và adj[v][u] đều phải được cập nhật.
void enter_adjacency_matrix() {
cin >> N >> M; // Nhập số đỉnh và số cạnh của đồ thị.
for (int i = 1; i <= M; ++i) {
int u, v;
cin >> u >> v;
adj[u][v]++; // Tăng số cạnh giữa u và v.
adj[v][u]++; // Nếu là đồ thị có hướng thì không có dòng này.
}
}
Mỗi khi một cạnh (u, v) được đọc vào, chúng ta sẽ tăng giá trị tại vị trí adj[u][v] lên 1. Nếu đồ thị là vô hướng, việc tăng adj[v][u] cũng là bắt buộc để đảm bảo tính đối xứng. Quá trình này giúp phản ánh chính xác cấu trúc đồ thị, kể cả khi có nhiều cạnh song song giữa hai đỉnh.
Ví dụ minh họa ma trận kề
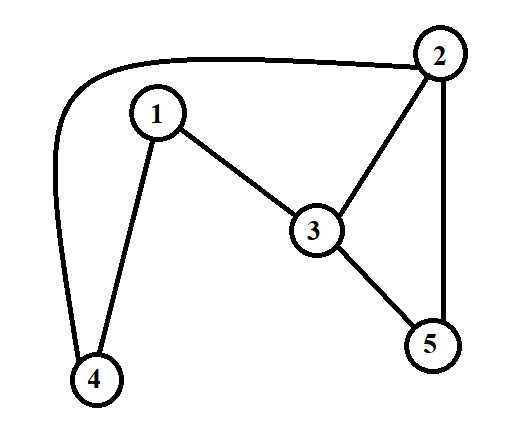
Để dễ hình dung, hãy xem xét đồ thị G(V, E) dưới đây với 5 đỉnh và 6 cạnh.
Ma trận kề của đồ thị{alt=”Ví dụ biểu diễn đồ thị trên máy tính bằng ma trận kề” title=”Ma trận kề của đồ thị vô hướng”}
Xem Thêm Bài Viết:
- Hướng dẫn cách in tem mã vạch chi tiết bằng BarTender
- Giải Pháp Toàn Diện Cho Người Ngồi Máy Tính Nhiều
- Review Công Ty Máy Tính Biên Hòa: Đánh Giá Chi Tiết Nhất
- Cấu hình máy tính xách tay Dell: Chọn lựa tối ưu mọi nhu cầu
- Cách Bật Picture-in-Picture Trên iPhone Đầy Đủ
Ma trận kề tương ứng của đồ thị này sẽ có dạng như sau:
Ví dụ ma trận kề của đồ thị 5 đỉnh 6 cạnh{alt=”Ma trận kề chi tiết cho đồ thị ví dụ” title=”Ma trận kề minh họa cách biểu diễn đồ thị trên máy tính”}
Các giá trị khác 0 trong ma trận thể hiện sự tồn tại của cạnh và số lượng cạnh giữa các cặp đỉnh. Ví dụ, adj[1][3]=1 và adj[3][1]=1 cho thấy có một cạnh nối đỉnh 1 và đỉnh 3.
Ưu điểm của ma trận kề
Ma trận kề nổi bật với sự đơn giản và dễ dàng trong việc cài đặt. Việc kiểm tra xem hai đỉnh u và v có kề nhau hay không chỉ mất O(1) thời gian, bằng cách kiểm tra giá trị adj[u][v] != 0. Đây là một lợi thế lớn trong các thuật toán cần truy vấn mối quan hệ giữa hai đỉnh một cách nhanh chóng.
Nhược điểm của ma trận kề
Tuy nhiên, ma trận kề cũng có những hạn chế đáng kể. Nó luôn tiêu tốn N^2 ô nhớ để lưu trữ, bất kể đồ thị có ít cạnh (đồ thị thưa) hay nhiều cạnh (đồ thị dày đặc). Điều này có thể trở thành vấn đề lớn khi số lượng đỉnh N lớn, dẫn đến lãng phí bộ nhớ. Hơn nữa, để tìm tất cả các đỉnh kề với một đỉnh u cụ thể, chúng ta buộc phải duyệt toàn bộ N cột (hoặc hàng) trong ma trận, kiểm tra điều kiện adj[u][v] != 0. Ngay cả khi đỉnh u không kề với đỉnh nào, quá trình này vẫn mất O(N) thời gian, điều này không hiệu quả đối với các thuật toán cần duyệt qua các kề của một đỉnh.
Phù hợp khi nào
Ma trận kề phù hợp nhất trong các bài toán đồ thị có số lượng đỉnh tương đối nhỏ, thường là không vượt quá 300-500 đỉnh, nơi mà N^2 bộ nhớ và thời gian duyệt O(N) vẫn chấp nhận được.
Danh sách cạnh (Edge List) – Tiết kiệm bộ nhớ cho đồ thị thưa
Trong trường hợp biết trước đồ thị có N đỉnh và M cạnh, chúng ta có thể biểu diễn đồ thị trên máy tính dưới dạng một danh sách lưu trữ tất cả các cạnh (u, v) của đồ thị. Nếu là đồ thị có hướng, mỗi cặp (u, v) sẽ ứng với một cung u → v. Kiểu dữ liệu vector hoặc mảng pair là lựa chọn rất phù hợp để lưu trữ danh sách cạnh này.
Cài đặt danh sách cạnh
Cài đặt danh sách cạnh khá đơn giản, chỉ cần đọc từng cặp đỉnh tạo thành một cạnh và thêm chúng vào danh sách.
vector < pair < int, int > > edge_list; // Danh sách cạnh.
void enter_edge_list() {
cin >> N >> M;
for (int i = 1; i <= M; ++i) {
int u, v;
cin >> u >> v;
edge_list.push_back({u, v});
}
}
Mỗi cặp (u, v) biểu thị một cạnh. Đối với đồ thị vô hướng, cạnh (u, v) và (v, u) được coi là một. Tuy nhiên, trong danh sách cạnh, thường chỉ lưu một lần (u, v) để tránh trùng lặp, và các thuật toán sẽ tự xử lý tính đối xứng.
Ví dụ minh họa danh sách cạnh
Với đồ thị G(V, E) gồm 5 đỉnh và 6 cạnh như hình dưới đây, các cạnh được liệt kê theo thứ tự là: (1,3), (1,4), (3,4), (3,2), (5,3), (2,5).
Ví dụ đồ thị cho danh sách cạnh{alt=”Đồ thị minh họa danh sách cạnh” title=”Cách biểu diễn đồ thị trên máy tính bằng danh sách cạnh”}
Danh sách cạnh của đồ thị này có thể được biểu diễn bằng một vector<pair<int, int>> như sau:
Danh sách cạnh chi tiết của đồ thị{alt=”Cấu trúc dữ liệu danh sách cạnh” title=”Biểu diễn đồ thị trên máy tính với danh sách cạnh”}
Mỗi hàng trong vector đại diện cho một cạnh của đồ thị, lưu trữ hai đỉnh mà cạnh đó nối.
Ưu điểm của danh sách cạnh
Điểm mạnh lớn nhất của danh sách cạnh là khả năng tiết kiệm không gian lưu trữ, đặc biệt trong trường hợp đồ thị thưa (số cạnh M nhỏ hơn đáng kể so với N^2). Thay vì lưu trữ ma trận N x N đầy đủ, chúng ta chỉ cần lưu M cặp đỉnh, chiếm bộ nhớ O(M). Điều này giúp tối ưu tài nguyên cho các đồ thị lớn nhưng ít liên kết. Hơn nữa, trong một số trường hợp đặc biệt, khi cần duyệt qua tất cả các cạnh trên đồ thị (ví dụ như trong thuật toán tìm cây khung nhỏ nhất Kruskal), phương pháp này giúp việc duyệt cạnh trở nên dễ dàng và hiệu quả trong O(M) thời gian.
Nhược điểm của danh sách cạnh
Hạn chế của danh sách cạnh xuất hiện khi cần tìm các đỉnh kề với một đỉnh u cụ thể. Để làm điều này, chúng ta buộc phải duyệt qua tất cả M cạnh trong danh sách, lọc ra những cạnh có chứa đỉnh u và xem xét đỉnh còn lại. Điều này có thể tốn rất nhiều thời gian, đặc biệt nếu đồ thị có nhiều cạnh, khiến việc truy vấn các đỉnh kề trở nên không hiệu quả.
Phù hợp khi nào
Danh sách cạnh phù hợp nhất trong các bài toán mà yêu cầu chính là duyệt toàn bộ các cạnh của đồ thị, ví dụ điển hình là các thuật toán như Kruskal để tìm cây khung nhỏ nhất, hoặc một số thuật toán tối ưu trên cạnh.
Danh sách kề (Adjacency List) – Sự lựa chọn tối ưu và linh hoạt
Để khắc phục nhược điểm của cả ma trận kề (lãng phí bộ nhớ với đồ thị thưa) và danh sách cạnh (khó tìm đỉnh kề), người ta sử dụng danh sách kề, đây cũng là cách phổ biến nhất để biểu diễn đồ thị trên máy tính trong các bài toán lập trình thi đấu và ứng dụng thực tế. Với phương pháp này, mỗi đỉnh u của đồ thị sẽ có một danh sách riêng adj[u], chứa tất cả các đỉnh kề với nó. Việc cài đặt danh sách kề thường được thực hiện dễ dàng bằng cách sử dụng vector trong C++ hoặc ArrayList trong Java.
Cài đặt danh sách kề
Cài đặt danh sách kề tận dụng cấu trúc mảng các vector (hoặc danh sách liên kết) để linh hoạt lưu trữ các đỉnh kề.
vector < int > adj[maxn + 1]; // Danh sách kề, maxn là số đỉnh tối đa của đồ thị.
void enter_adjacency_list() {
cin >> N >> M; // Số đỉnh và số cạnh của đồ thị.
for (int i = 1; i <= M; ++i) {
int u, v;
cin >> u >> v;
adj[u].push_back(v); // Đưa v vào danh sách kề với u.
adj[v].push_back(u); // Nếu là đồ thị có hướng thì không có dòng này.
}
}
Đối với mỗi cạnh (u, v) được đọc vào, đỉnh v sẽ được thêm vào danh sách kề của u, và nếu là đồ thị vô hướng, đỉnh u cũng sẽ được thêm vào danh sách kề của v. Điều này đảm bảo mỗi đỉnh có một danh sách chính xác về các “hàng xóm” của nó.
Ví dụ minh họa danh sách kề
Hãy xem xét đồ thị G(V, E) gồm 5 đỉnh và 4 cạnh như hình minh họa:
Ví dụ đồ thị cho danh sách kề{alt=”Đồ thị minh họa cấu trúc danh sách kề” title=”Cách biểu diễn đồ thị trên máy tính bằng danh sách kề”}
Danh sách kề của nó có thể được biểu diễn bằng một mảng adj[6] gồm các vector (kích thước mảng là 6 do chúng ta thường không sử dụng đỉnh số 0), mỗi vectoradj[u] lưu danh sách kề của đỉnh u:
Danh sách kề chi tiết của đồ thị{alt=”Cấu trúc dữ liệu danh sách kề chi tiết” title=”Biểu diễn đồ thị trên máy tính với danh sách kề”}
Có thể thấy, mỗi vector con chỉ chứa các đỉnh mà nó trực tiếp liên kết, giúp truy cập nhanh chóng.
Ưu điểm của danh sách kề
Danh sách kề là phương pháp cực kỳ hiệu quả về mặt bộ nhớ, đặc biệt cho đồ thị thưa, vì nó chỉ lưu trữ chính xác số lượng cạnh hiện có, với bộ nhớ O(N + M). vector là kiểu dữ liệu với bộ nhớ động, sẽ chỉ tạo ra các ô nhớ tương ứng với số lượng đỉnh kề. Điều này giúp tối ưu hóa không gian. Việc duyệt các đỉnh kề với một đỉnh u (hay còn gọi là duyệt các cạnh xuất phát từ u) diễn ra rất nhanh chóng, chỉ mất O(deg(u)) thời gian, trong đó deg(u) là bậc của đỉnh u. Đây là một lợi thế lớn cho các thuật toán tìm kiếm như BFS (Breadth-First Search) và DFS (Depth-First Search) hoặc các thuật toán duyệt đồ thị khác.
Nhược điểm của danh sách kề
Nhược điểm chính của danh sách kề là khi cần kiểm tra nhanh xem một cặp đỉnh (u, v) có phải là một cạnh của đồ thị hay không. Để xác định điều này, chúng ta buộc phải duyệt toàn bộ danh sách kề của u (hoặc v), điều này có thể tốn O(deg(u)) thời gian. Đối với đồ thị dày đặc hoặc khi cần nhiều truy vấn kiểm tra cạnh, nhược điểm này có thể trở nên rõ rệt.
Phù hợp khi nào
Danh sách kề được xem là phương pháp linh hoạt và hiệu quả nhất, phù hợp với hầu hết các bài toán đồ thị. Nó là lựa chọn mặc định cho các thuật toán cần duyệt qua các đỉnh kề, tìm kiếm đường đi, hay tính toán các thuộc tính của đỉnh và cạnh trong đồ thị. Chỉ một số trường hợp đặc biệt cần duyệt toàn bộ cạnh hoặc truy vấn kiểm tra cạnh cực nhanh mới cần cân nhắc các phương pháp khác.
Kết luận
Việc lựa chọn phương pháp biểu diễn đồ thị trên máy tính phù hợp là yếu tố then chốt quyết định hiệu quả của các thuật toán xử lý đồ thị. Ma trận kề thích hợp cho đồ thị nhỏ và cần kiểm tra cạnh nhanh. Danh sách cạnh ưu việt khi xử lý đồ thị thưa và cần duyệt toàn bộ cạnh. Trong khi đó, danh sách kề là giải pháp cân bằng, hiệu quả nhất cho đa số các bài toán, đặc biệt là khi cần duyệt các đỉnh kề. Hiểu rõ ưu nhược điểm của từng phương pháp sẽ giúp bạn đưa ra lựa chọn sáng suốt, tối ưu hóa cả về bộ nhớ lẫn thời gian xử lý cho ứng dụng của mình. Để tìm hiểu thêm về các khái niệm chuyên sâu khác về máy tính và công nghệ, hãy truy cập maytinhgiaphat.vn ngay hôm nay!

