Trong chương trình toán học phổ thông và đại học, hàm số liên tục là một trong những khái niệm nền tảng, đóng vai trò quan trọng trong việc phân tích các tính chất của hàm số. Việc nắm vững lý thuyết và áp dụng linh hoạt các phương pháp giải toán, đặc biệt là sử dụng máy tính cầm tay, sẽ giúp học sinh và sinh viên tối ưu hóa thời gian và nâng cao độ chính xác trong các bài kiểm tra trắc nghiệm. Bài viết này từ maytinhgiaphat.vn sẽ cung cấp một hướng dẫn chi tiết về cách bấm máy tính hàm số liên tục, giúp bạn tự tin xử lý các dạng bài tập liên quan một cách nhanh chóng và hiệu quả.
I. Tổng Quan Về Hàm Số Liên Tục: Nền Tảng Cần Nắm Vững
Trước khi đi sâu vào cách bấm máy tính hàm số liên tục, việc hiểu rõ định nghĩa và các định lý cơ bản về hàm số liên tục là vô cùng cần thiết. Một hàm số được coi là liên tục nếu đồ thị của nó là một đường nét liền, không có sự “đứt gãy” hay “nhảy vọt” đột ngột tại bất kỳ điểm nào trong miền xác định.
1. Hàm Số Liên Tục Tại Một Điểm
Một hàm số y = f(x) được xác định trên một khoảng K và x₀ ∈ K được gọi là liên tục tại x₀ nếu và chỉ nếu giới hạn của hàm số khi x tiến đến x₀ bằng giá trị của hàm số tại x₀.
Công thức định nghĩa hàm số liên tục tại một điểm
Điều kiện này có thể được phát biểu như sau:
- Hàm số f(x) phải xác định tại x₀.
- Giới hạn của f(x) khi x tiến đến x₀ phải tồn tại.
- Giá trị giới hạn đó phải bằng f(x₀).
Nếu một trong ba điều kiện này không được thỏa mãn, hàm số y = f(x) được gọi là gián đoạn tại x₀.
Xem Thêm Bài Viết:
- Cách Chọn Khay Giấy Máy In Canon 251dw
- Màn hình máy tính 4K rẻ nhất: Hướng dẫn chọn và Top sản phẩm
- Máy in HP LaserJet M1522NF: Đánh giá toàn diện sản phẩm
- Thông Số & Đánh Giá Nguồn Máy Tính Xigmatek X Calibre XCP A400 EN5650
- Cách Tăng Tốc Máy Tính Win 8 Hiệu Quả Nhất Hiện Nay
2. Hàm Số Liên Tục Trên Một Khoảng
Hàm số y = f(x) được định nghĩa là liên tục trên một khoảng mở nếu nó liên tục tại mọi điểm thuộc khoảng đó. Đối với một đoạn đóng [a;b], hàm số y = f(x) được gọi là liên tục trên đoạn[a;b] nếu nó liên tục trên khoảng mở (a;b), và đồng thời thỏa mãn các điều kiện giới hạn tại các điểm mút:
Công thức định nghĩa hàm số liên tục trên một khoảng đoạn
Tương tự, khái niệm hàm số liên tục trên các nửa khoảng (như [a;b), (a;b], [a;+∞), v.v.) cũng được định nghĩa dựa trên sự liên tục tại mọi điểm bên trong khoảng và giới hạn tại các điểm mút (nếu có).
3. Các Định Lý Cơ Bản Về Hàm Số Liên Tục
Để phân tích tính liên tục của hàm số phức tạp, chúng ta thường dựa vào các định lý sau:
-
Định lý 1:
- Các hàm số đa thức luôn liên tục trên toàn bộ tập số thực R.
- Các hàm số phân thức hữu tỉ (là thương của hai đa thức) và các hàm số lượng giác đều liên tục trên từng khoảng xác định của chúng. Điều này có nghĩa là chúng chỉ bị gián đoạn tại những điểm làm mẫu số bằng 0 (đối với phân thức) hoặc những điểm không xác định (đối với lượng giác như tan, cot).
-
Định lý 2 (Về Phép Toán trên Hàm Liên Tục):
Nếu hai hàm số y = f(x) và y = g(x) cùng liên tục tại một điểm x₀, thì:- Tổng, hiệu, tích của chúng (y = f(x) + g(x), y = f(x) – g(x), y = f(x).g(x)) cũng liên tục tại x₀.
- Thương của chúng (y = f(x)/g(x)) cũng liên tục tại x₀, với điều kiện g(x₀) khác 0.
-
Định lý 3 (Định lý Giá Trị Trung Gian):
Nếu hàm số y = f(x)liên tục trên đoạn [a;b] và f(a).f(b) < 0, thì chắc chắn tồn tại ít nhất một điểm c ∈ (a;b) sao cho f(c) = 0. Định lý này là công cụ mạnh mẽ để chứng minh sự tồn tại nghiệm của phương trình.
II. Hướng Dẫn Cách Bấm Máy Tính Hàm Số Liên Tục Nhanh Chóng
Sử dụng máy tính Casio để kiểm tra tính liên tục của hàm số, đặc biệt trong các bài toán trắc nghiệm, là một kỹ năng hữu ích. Chúng ta sẽ lấy ví dụ cụ thể để minh họa cách bấm máy tính hàm số liên tục.
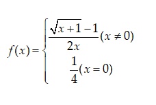
Bài toán ví dụ: Chứng minh hàm số f(x) liên tục tại x=0 với biểu thức hàm số được cho là:
Biểu thức hàm số f(x) để chứng minh liên tục tại x=0
Theo định nghĩa, để chứng minh f(x) liên tục tại x=0, chúng ta cần chứng minh điều kiện giới hạn bằng giá trị hàm số:
Điều kiện giới hạn của hàm số f(x) khi x tiến về 0
1. Các Bước Bấm Máy Tính Casio
Thao tác thực hiện trên máy tính Casio FX-580VN X hoặc tương tự:
Bước 1: Nhập biểu thức hàm số vào máy tính.
Mở máy tính, nhập biểu thức của hàm số f(x) cho trường hợp x ≠ 0.
Nhập biểu thức hàm số vào máy tính Casio
Bước 2: Sử dụng chức năng CALC.
Sau khi nhập biểu thức, nhấn nút CALC (Calculate). Máy tính sẽ yêu cầu nhập giá trị của X.
Nhấn nút CALC trên máy tính Casio
Bước 3: Nhập giá trị x gần tiến đến x=0.
Để tính giới hạn khi x tiến đến 0, ta nhập một giá trị x rất gần với 0. Một giá trị phổ biến và hiệu quả là 0 + 10⁻⁸ (tức là 0.00000001), hoặc 0 – 10⁻⁸ cho giới hạn trái. Đây là một mẹo nhỏ để kiểm tra giới hạn hàm số.
Nhập giá trị X tiến gần đến 0
Bước 4: Xem kết quả.
Nhấn dấu “=” hai lần. Máy tính sẽ hiển thị kết quả của biểu thức tại giá trị x đã nhập. Trong trường hợp này, ta nhận được kết quả f(x) = 1/4.
Nhấn dấu = để xem kết quả tính toán trên máy tính
Kết luận cho ví dụ: Vì lim f(x) x → 0 = 1/4 và f(0) = 1/4 (theo đề bài), ta thấy lim f(x) x → 0 = f(0). Do đó, hàm số f(x) liên tục tại x=0.
Kỹ thuật này giúp bạn nhanh chóng kiểm tra giá trị giới hạn một phía hoặc hai phía, từ đó đưa ra kết luận về tính liên tục của hàm số tại một điểm cụ thể.
III. Các Dạng Bài Toán Hàm Số Liên Tục Thường Gặp và Cách Xử Lý
Ngoài việc tính toán trực tiếp giới hạn, hàm số liên tục còn xuất hiện trong nhiều dạng bài tập khác. Dưới đây là các dạng phổ biến cùng hướng dẫn chi tiết về phương pháp giải, giúp bạn củng cố kiến thức và kỹ năng.
1. Dạng 1: Xét Tính Liên Tục Của Hàm Số Tại Một Điểm Cụ Thể
Đây là dạng bài cơ bản nhất, trực tiếp áp dụng định nghĩa về hàm số liên tục tại một điểm.
Quy trình giải:
-
Bước 1: Kiểm tra tính xác định của hàm số.
Xác định rõ ràng miền xác định của hàm số y = f(x) và kiểm tra xem điểm x₀ có thuộc miền xác định đó hay không. Nếu f(x₀) không xác định, hàm số gián đoạn tại x₀. -
Bước 2: Tính giá trị của hàm số tại x₀.
Thay trực tiếp x₀ vào biểu thức của f(x) để tìm f(x₀). -
Bước 3: Tính giới hạn của hàm số khi x tiến đến x₀.
- Đối với hàm số định nghĩa bởi nhiều biểu thức (hàm số chia nhánh), bạn cần tính giới hạn trái lim f(x) khi x → x₀⁻ và giới hạn phải lim f(x) khi x → x₀⁺. Giới hạn của hàm số tại x₀ chỉ tồn tại khi giới hạn trái và giới hạn phải bằng nhau.
- Đối với các hàm số thông thường (đa thức, phân thức, lượng giác…), có thể tính giới hạn trực tiếp bằng cách thay x₀ vào hoặc sử dụng các quy tắc L’Hopital nếu gặp dạng vô định.
- Bạn có thể áp dụng cách bấm máy tính hàm số liên tục đã hướng dẫn ở trên để tính nhanh giới hạn này, bằng cách nhập x₀ + 10⁻⁸ hoặc x₀ – 10⁻⁸.
-
Bước 4: So sánh giá trị giới hạn và giá trị hàm số.
So sánh lim f(x) khi x → x₀ (nếu tồn tại) với f(x₀). -
Bước 5: Kết luận.
- Nếu lim f(x) x → x₀ = f(x₀), hàm số liên tục tại x₀.
- Nếu lim f(x) x → x₀ ≠ f(x₀) (hoặc giới hạn không tồn tại, hoặc hàm số không xác định tại x₀), hàm số gián đoạn tại x₀.
2. Dạng 2: Xét Tính Liên Tục Của Hàm Số Trên Một Khoảng/Đoạn Hoặc Tập Xác Định
Dạng này yêu cầu kiểm tra tính liên tục của hàm số trên một tập hợp điểm.
Bài toán ví dụ: Xét tính liên tục của hàm số: f(x) = (x² + 5x)/x trên tập xác định của nó.
Quy trình giải:
-
Bước 1: Xác định tập xác định và tính liên tục trên từng khoảng đơn lẻ.
Hàm số f(x) = (x² + 5x)/x xác định với x ≠ 0.
Với x ≠ 0, hàm số có thể rút gọn thành f(x) = x + 5. Đây là một hàm đa thức. Theo Định lý 1, hàm đa thức liên tục trên toàn bộ tập xác định của nó. Do đó, f(x) liên tục trên các khoảng (-∞; 0) và (0; +∞). -
Bước 2: Xét tính liên tục tại điểm “chuyển tiếp” hoặc điểm không xác định ban đầu.
Trong trường hợp này, điểm cần xét là x = 0, nơi hàm số không xác định ban đầu. Mặc dù sau khi rút gọn, biểu thức trở nên “liên tục”, nhưng về mặt định nghĩa, hàm số gốc không xác định tại x = 0. Tuy nhiên, bài toán yêu cầu xét “trên tập xác định của nó” (tức là R {0}). Nếu bài toán hỏi về tính liên tục trên R, thì ta cần xem xét giới hạn tại x=0.Để minh họa việc sử dụng máy tính cho giới hạn này, ta tính lim f(x) khi x → 0⁻ và lim f(x) khi x → 0⁺.
-
Tính lim f(x) x → 0⁻:
Nhập biểu thức f(x) = (x² + 5x)/x vào máy tính. Nhấn CALC, nhập x = 0 – 10⁻⁸.
Nhập biểu thức và bấm CALC
Nhập giá trị x tiến gần 0 từ tráiBấm “=” để xem kết quả: lim f(x) x → 0⁻ = 5.
Kết quả tính giới hạn từ trái -
Tính lim f(x) x → 0⁺:
Tiếp tục nhập biểu thức, nhấn CALC, nhập x = 0 + 10⁻⁸.
Thực hiện tương tự CALC và nhập giá trị x tiến gần 0 từ phảiBấm “=” để xem kết quả: lim f(x) x → 0⁺ = 5.
Kết quả tính giới hạn từ phải
-
-
Bước 3: Kết luận.
Vì lim f(x) x → 0⁻ = lim f(x) x → 0⁺ = 5, nên lim f(x) x → 0 = 5. Tuy nhiên, hàm số f(x) không xác định tại x=0. Do đó, hàm số f(x) gián đoạn tại x=0.
Kết luận tổng quát: Hàm số f(x) liên tục trên từng khoảng thuộc tập xác định của nó là (-∞; 0) và (0; +∞).
3. Dạng 3: Tìm Điều Kiện Để Hàm Số Liên Tục Tại Một Điểm
Dạng bài này thường yêu cầu tìm tham số để hàm số thỏa mãn điều kiện liên tục.
Quy trình giải:
Áp dụng chính xác định nghĩa hàm số liên tục tại một điểm x₀. Hàm số f(x) liên tục tại x₀ khi và chỉ khi:
- f(x₀) xác định.
- lim f(x) x → x₀ tồn tại.
- lim f(x) x → x₀ = f(x₀).
Thiết lập phương trình từ điều kiện lim f(x) x → x₀ = f(x₀) và giải phương trình đó để tìm giá trị của tham số.
4. Dạng 4: Tìm Điều Kiện Để Hàm Số Liên Tục Trên Một Khoảng/Đoạn Hoặc Một Tập Xác Định
Dạng này là sự kết hợp của dạng 2 và dạng 3, yêu cầu xác định tham số để hàm số liên tục trên một tập hợp rộng hơn.
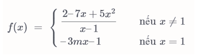
Bài toán ví dụ: Tìm m để hàm số sau đây liên tục trên tập xác định R:
Hàm số f(x) có tham số m
Quy trình giải:
-
Bước 1: Xác định tính liên tục trên từng khoảng mở.
-
Hàm số đã cho xác định trên R.
-
Với x ≠ 1, hàm số f(x) có dạng:
Biểu thức hàm số f(x) khi x khác 1Vì đây là hàm phân thức hữu tỉ, theo Định lý 1, f(x) liên tục trên các khoảng xác định của nó: (-∞; 1) và (1; +∞).
-
-
Bước 2: Xét tính liên tục tại điểm “nối” x = 1.
-
Khi x = 1, hàm số f(x) được định nghĩa là f(1) = -3m – 1.
-
Tiếp theo, ta cần tính lim f(x) x → 1 cho biểu thức f(x) = (x³ – 1)/(x – 1) (khi x ≠ 1):
Giới hạn của f(x) khi x tiến về 1Để tính giới hạn này bằng máy tính Casio:
-
Tính lim f(x) x → 1⁻:
Nhập biểu thức (X³ – 1)/(X – 1). Nhấn CALC, nhập x = 1 – 10⁻⁸.
Nhập biểu thức và bấm CALC cho giới hạn tráiKết quả nhận được là 3.
Kết quả giới hạn trái của f(x) khi x tiến về 1 -
Tính lim f(x) x → 1⁺:
Nhấn CALC, nhập x = 1 + 10⁻⁸.
Thực hiện tương tự CALC và nhập giá trị x tiến gần 1 từ phảiKết quả nhận được là 3.
Kết quả giới hạn phải của f(x) khi x tiến về 1
Từ đó suy ra lim f(x) x → 1 = 3.
-
-
-
Bước 3: Thiết lập phương trình và giải.
Hàm số f(x) liên tục trên R khi và chỉ khi nó liên tục tại x = 1. Điều này xảy ra khi:
Điều kiện để hàm số f(x) liên tục tại x=1Thay các giá trị đã tính:
-3m – 1 = 3
-3m = 4
m = -4/3Vậy, với m = -4/3, hàm số f(x) sẽ liên tục trên toàn bộ tập số thực R.
5. Dạng 5: Ứng Dụng Hàm Số Liên Tục Chứng Minh Phương Trình Có Nghiệm
Dạng bài này sử dụng Định lý 3 về giá trị trung gian.
Quy trình giải:
-
Bước 1: Biến đổi phương trình về dạng chuẩn f(x) = 0.
Chuyển tất cả các hạng tử của phương trình về một vế để tạo thành hàm số f(x). -
Bước 2: Tìm một đoạn [a;b] thích hợp.
Chọn hai số a và b (a < b) sao cho f(a) và f(b) trái dấu, tức là f(a).f(b) < 0. Việc lựa chọn a và b thường dựa trên việc thử các giá trị đơn giản hoặc phân tích đồ thị. -
Bước 3: Chứng minh hàm số y = f(x) liên tục trên đoạn [a;b].
Phần lớn các hàm số sơ cấp (đa thức, phân thức hữu tỉ trên miền xác định của chúng, lượng giác, mũ, logarit) đều liên tục trên các khoảng xác định. Bạn cần khẳng định điều này cho hàm số f(x) đã biến đổi. Nếu f(x) là hàm đa thức, nó luôn liên tục trên mọi đoạn. Nếu là hàm phân thức hay lượng giác, cần đảm bảo [a;b] không chứa điểm gián đoạn của chúng. -
Bước 4: Kết luận.
Từ ba bước trên (hàm số liên tục trên đoạn [a;b], và f(a).f(b) < 0), theo Định lý 3, suy ra tồn tại ít nhất một điểm c ∈ (a;b) sao cho f(c) = 0. Điều này có nghĩa là phương trình f(x) = 0 có ít nhất một nghiệm trong khoảng (a;b).
Lời Kết
Hy vọng qua bài viết này, bạn đã nắm vững cách bấm máy tính hàm số liên tục cùng với những kiến thức chuyên sâu về lý thuyết và các dạng bài tập liên quan. Việc áp dụng thành thạo các kỹ thuật này không chỉ giúp bạn giải toán nhanh chóng mà còn tăng cường sự tự tin khi đối mặt với các thử thách trong học tập.
Để khám phá thêm nhiều mẹo học tập hữu ích, thông tin công nghệ mới nhất về máy tính và các thiết bị điện tử, hoặc tìm kiếm những cơ hội việc làm hấp dẫn, đừng ngần ngại truy cập maytinhgiaphat.vn ngay hôm nay! Chúng tôi luôn nỗ lực mang đến những nội dung chất lượng cao, đáng tin cậy, giúp bạn nâng cao kiến thức và kỹ năng trong cuộc sống số.
