Việc tính lim bằng máy tính fx 570VN PLUS đã trở thành kỹ năng thiết yếu đối với nhiều học sinh, sinh viên trong quá trình học tập và làm bài kiểm tra. Chiếc máy tính bỏ túi quen thuộc này không chỉ hỗ trợ giải toán nhanh chóng mà còn giúp kiểm tra lại kết quả một cách hiệu quả. Bài viết này sẽ cung cấp hướng dẫn chi tiết từng bước, giúp bạn nắm vững cách sử dụng Casio fx 570VN PLUS để giải quyết các bài toán giới hạn một cách tự tin và chính xác. Đây là tài liệu hữu ích dành cho những ai muốn khai thác tối đa sức mạnh của công cụ học tập này.
Giới hạn hàm số và vai trò của máy tính Casio fx 570VN PLUS
Giới hạn của hàm số (lim) là một khái niệm cơ bản và quan trọng trong chương trình Toán THPT và các bậc học cao hơn, đặc biệt trong giải tích. Việc tính giới hạn giúp chúng ta hiểu được hành vi của hàm số khi biến số tiến gần đến một giá trị nào đó, hoặc tiến ra vô cùng. Mặc dù các phương pháp giải tay đòi hỏi sự hiểu biết sâu sắc về lý thuyết, việc sử dụng máy tính như Casio fx 570VN PLUS lại mang đến một công cụ mạnh mẽ để kiểm tra kết quả hoặc ước lượng nhanh chóng.
Máy tính Casio fx 570VN PLUS nổi bật với khả năng tính toán vượt trội và giao diện thân thiện, cho phép người dùng thực hiện nhiều phép tính phức tạp, bao gồm cả việc tính lim bằng máy tính fx 570VN PLUS. Tính năng CALC trên máy giúp chúng ta có thể xấp xỉ giá trị của hàm số tại các điểm cực đại hoặc cực tiểu, từ đó suy ra giới hạn. Phương pháp này đặc biệt hữu ích khi xử lý các bài toán giới hạn tại vô cực hoặc tại một điểm mà hàm số không xác định trực tiếp.
Cách tính lim khi x tiến đến vô cực bằng Casio fx 570VN PLUS
Khi cần tính lim bằng máy tính fx 570VN PLUS cho các hàm số khi x tiến tới dương vô cùng ($x to +infty$) hoặc âm vô cùng ($x to -infty$), chúng ta có thể áp dụng phương pháp gán giá trị x rất lớn hoặc rất nhỏ. Đây là một kỹ thuật phổ biến và hiệu quả để ước lượng giới hạn một cách nhanh chóng.
Bước 1: Nhập hàm số vào máy tính
Trước tiên, bạn cần nhập chính xác biểu thức hàm số cần tính giới hạn vào máy. Sử dụng các phím chức năng trên máy Casio fx 570VN PLUS để nhập biểu thức. Đảm bảo rằng tất cả các biến và phép toán được nhập đúng cú pháp để tránh sai sót.
Ví dụ, để tính giới hạn của hàm số $f(x) = frac{x+1}{2x-1}$ khi $x to +infty$, bạn sẽ nhập biểu thức này vào máy.
Xem Thêm Bài Viết:
- Bảo hành máy in Epson ở đâu chính hãng? Tìm hiểu ngay
- Cách Làm Video Màn Hình Máy Tính Chuyên Nghiệp Từ A Đến Z
- Màn hình Dell 19 inch vuông: Lựa chọn kinh tế cho văn phòng
- Cách Học Đánh Máy Tính Nhanh Nhất: Hướng Dẫn Toàn Diện
- Hướng Dẫn Tải Máy Tính Casio Fx 570VN Plus Chi Tiết
Bài toán tính lim trên máy tính fx 570VN PLUS với giới hạn x tiến đến vô cùng
Bước 2: Gán giá trị x tại vô cực
Sau khi nhập hàm số, bạn sẽ sử dụng chức năng CALC để gán giá trị cho x. Đối với giới hạn khi x tiến tới dương vô cùng ($x to +infty$), bạn nên gán x là một số rất lớn, chẳng hạn như $10^{10}$ hoặc $10^{12}$. Tương tự, nếu x tiến tới âm vô cùng ($x to -infty$), hãy gán x là một số rất nhỏ, ví dụ $-10^{10}$ hoặc $-10^{12}$.
Để thực hiện, bấm phím CALC, sau đó nhập giá trị $10^{10}$ (hoặc giá trị thích hợp khác) và bấm =.
Các bước tính lim bằng máy tính fx 570VN PLUS sau khi nhập hàm số và giá trị x lớn
Bước 3: Đọc và giải thích kết quả
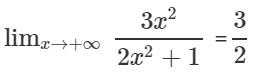
Máy tính sẽ hiển thị kết quả xấp xỉ của giới hạn. Bạn cần quan sát kỹ giá trị này để xác định giới hạn chính xác.
Ví dụ, nếu kết quả là 0.5, thì giới hạn của hàm số là 1/2. Nếu kết quả là một số rất lớn (ví dụ $10^{15}$), giới hạn có thể là $+infty$. Ngược lại, nếu kết quả là một số rất nhỏ có dấu âm (ví dụ $-10^{15}$), giới hạn có thể là $-infty$. Trong trường hợp ví dụ trên, kết quả hiển thị sẽ là 0.5.
Kết quả cuối cùng khi tính lim bằng máy tính fx 570VN PLUS cho hàm số đã nhập
Mở rộng: Tính lim khi x tiến đến một giá trị hữu hạn
Ngoài giới hạn tại vô cực, tính lim bằng máy tính fx 570VN PLUS cũng rất hữu ích khi x tiến đến một giá trị hữu hạn $x to a$. Trong trường hợp này, chúng ta không thể gán trực tiếp x = a nếu hàm số không xác định tại điểm đó. Thay vào đó, chúng ta sẽ gán x bằng một giá trị rất gần a.
Tính lim khi x tiến đến a từ bên phải ($x to a^+$)
Để tính giới hạn khi x tiến đến a từ bên phải, bạn gán x = $a + 0.0000001$ (hoặc $a + 10^{-7}$). Giá trị $10^{-7}$ là một số rất nhỏ, đủ để xấp xỉ mà không gây tràn số.
Tính lim khi x tiến đến a từ bên trái ($x to a^-$)
Tương tự, khi x tiến đến a từ bên trái, bạn gán x = $a – 0.0000001$ (hoặc $a – 10^{-7}$).
Việc phân biệt giới hạn một phía giúp bạn xác định được hàm số có giới hạn tại a hay không, bởi vì giới hạn tại a chỉ tồn tại khi giới hạn trái và giới hạn phải bằng nhau. Đối với các sản phẩm công nghệ hỗ trợ học tập như máy tính Casio, bạn có thể tham khảo thêm thông tin chi tiết và mua sắm tại maytinhgiaphat.vn để đảm bảo chất lượng và uy tín.
Lưu ý quan trọng khi sử dụng máy tính Casio để tính lim
Mặc dù việc tính lim bằng máy tính fx 570VN PLUS mang lại sự tiện lợi đáng kể, nhưng người dùng cần lưu ý một số điểm để đảm bảo độ chính xác và tránh những hiểu lầm không đáng có. Đây là một phương pháp xấp xỉ, không phải là một phép tính giới hạn hoàn hảo.
Đầu tiên, đối với các hàm số lượng giác hoặc hàm số có tính chất tuần hoàn, việc gán giá trị x rất lớn có thể không cho ra kết quả giới hạn chính xác, vì hàm số có thể dao động liên tục mà không tiến về một giá trị cố định. Thứ hai, trong một số trường hợp đặc biệt, việc gán giá trị x quá lớn hoặc quá nhỏ có thể dẫn đến lỗi tính toán (Math ERROR) nếu giá trị đó vượt quá khả năng xử lý của máy. Cuối cùng, kết quả hiển thị trên máy là giá trị xấp xỉ, vì vậy bạn cần có kiến thức nền tảng về giới hạn để phân tích và đưa ra kết luận chính xác nhất, đặc biệt là khi kết quả xấp xỉ rất gần 0 hoặc các số nguyên.
Kết luận
Hiểu rõ cách tính lim bằng máy tính fx 570VN PLUS là một lợi thế lớn, giúp học sinh và sinh viên tiết kiệm thời gian, tăng cường sự tự tin khi giải các bài toán giới hạn và kiểm tra kết quả một cách nhanh chóng. Bằng việc thực hiện các bước nhập hàm số, gán giá trị x phù hợp và phân tích kết quả, bạn có thể khai thác tối đa công cụ học tập mạnh mẽ này. Tuy nhiên, hãy luôn nhớ rằng máy tính là công cụ hỗ trợ, kiến thức nền tảng vững chắc về lý thuyết giới hạn vẫn là yếu tố then chốt để đạt được kết quả chính xác và toàn diện.

